卷积接神经网络CNN
一、原理
图像在计算机中是一堆按顺序排列的数字,数值为0到255。0表示最暗,255表示最亮。
照片有灰度模式,直接一个矩阵表示即可,而更普遍的图片表达方式是RGB颜色模型,即红、绿、蓝三原色的色光以不同的比例相加,以产生多种多样的色光。RGB颜色模型中,单个矩阵就扩展成了有序排列的三个矩阵,也可以用三维张量去理解。
其中的每一个矩阵又叫这个图片的一个channel(通道),宽, 高, 深来描述。

为什么要学习卷积神经网络?
在传统神经网络中,我们要识别下图红色框中的图像时,我们很可能识别不出来,因为这六张图的特征位置都不通,计算机无法分辨出他们其实是一种形状或物体。
我们希望一个物体不管在画面左侧还是右侧,都会被识别为同一物体,这一特点就是不变性。为了实现平移不变性,卷积神经网络(CNN)等深度学习模型在卷积层中使用了卷积操作,这个操作可以捕捉到图像中的局部特征而不受其位置的影响。
二、什么是卷积?
在卷积神经网络中,卷积操作是指将一个可移动的小窗口(称为数据窗口,如下图绿色矩形)与图像进行逐元素相乘然后相加的操作。这个小窗口其实是一组固定的权重,它可以被看作是一个特定的滤波器(filter)或卷积核。这个操作的名称“卷积”,源自于这种元素级相乘和求和的过程。这一操作是卷积神经网络名字的来源。
这张图中蓝色的框就是指一个数据窗口,红色框为卷积核(滤波器),最后得到的绿色方形就是卷积的结果(数据窗口中的数据与卷积核逐个元素相乘再求和)

卷积计算过程:

1. 感受野(Receptive Field)
(1) 什么是感受野
感受野指的是卷积神经网络每一层输出的特征图(feature map)上每个像素点映射回输入图像上的区域大小。
神经元感受野的范围越大表示其能接触到的原始图像范围就越大,也意味着它能学习更为全局,语义层次更高的特征信息;相反,范围越小则表示其所包含的特征越趋向局部和细节。
由此可知,深度卷积神经网络中靠前的层感受野较小,提取到的是图像的纹理、边缘等局部的、通用的特征;靠后的层由于感受野较大,提取到的是图像更深层次、更具象的特征。因此在迁移学习中常常会将靠前的层的参数冻结(不参与训练,因为他们在迁移到新的场景之前已经具备了提取通用特征的能力),来节省训练的时间和算力消耗。
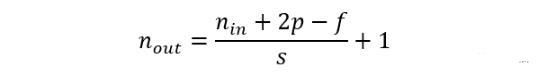
首先回顾一下从输入特征图到输出特征图尺寸的计算公式(其中

假设输入大小为5×5,f=3×3,padding为1×1,卷积步长为2×2,那么输出特征图size根据公式可计算为3×3。
下面给出感受野的计算公式:

其中
卷积需要注意哪些问题? a.步长stride:每次滑动的位置步长。
b. 卷积核的个数:决定输出的depth厚度。同时代表卷积核的个数。
c. 填充值zero-padding:在外围边缘补充若干圈0,方便从初始位置以步长为单位可以刚好滑倒末尾位置,通俗地讲就是为了总长能被步长整除。
以上图为例,那么:
• 数据窗口每次移动两个步长取 3*3 的局部数据,即 stride=2 。 • 两个神经元,即 depth=2 ,意味着有两个滤波器。 • zero-padding=1 。
为什么要填充?
因为边缘特征卷积以后保留不下来
三、卷积神经网络的构造
1 输入层 输入层接收原始图像数据。图像通常由三个颜色通道(红、绿、蓝)组成,形成一个二维矩阵,表示像素的强度值。
2 卷积和激活 卷积层将输入图像与卷积核进行卷积操作。然后,通过应用激活函数(如ReLU)来引入非线性。这一步使网络能够学习复杂的特征。
3 池化层 池化层通过减小特征图的大小来减少计算复杂性。它通过选择池化窗口内的最大值或平均值来实现。这有助于提取最重要的特征。
4 多层堆叠 CNN通常由多个卷积和池化层的堆叠组成,以逐渐提取更高级别的特征。深层次的特征可以表示更复杂的模式。
5 全连接和输出 最后,全连接层将提取的特征映射转化为网络的最终输出。这可以是一个分类标签、回归值或其他任务的结果。